CMOS多频段低噪声放大器设计
近年来,随着无线通信技术的蓬勃发展,可兼容多种移动通信系统标准的新一代移动终端的研究正逐渐成为热点。要实现多频段的移动终端接收系统,需要解决的首要问题就是如何实现位于该系统第一级的低噪声放大器LNA的多频段化。传统的方法是将多个单频段的LNA并联起来使用,但会造成较大的功耗,占用较大的芯片面积,增加成本,而且随着接收标准的不断增多,该方法最终将不可行;另外一种实现多频段的方式是采用开关式LNA,但其只能工作于一个频段下,当希望能同时工作于多个频段时,该方法也将不适用;还可以采用宽带LNA来实现多个频段的放大,但同时也会放大其他频段的干扰信号。本设计中的并行式多频段LNA为单个LNA,但能同时工作在不同频段下且放大所需频段的信号。
电路设计
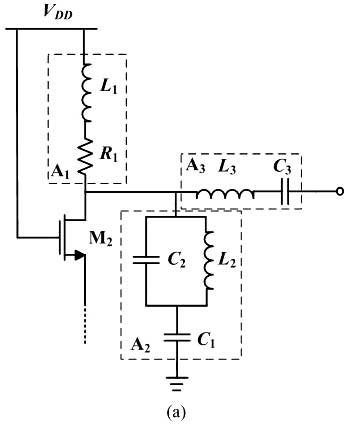
该多频带LNA总体电路如图1所示,由于1.8GHz、1.9GHz和2GHz频段很靠近,因此考虑设计一个0.9/ 1.9GHz的双频段LNA,以1.9GHz为中心频率,适当增大其带宽,使其覆盖1.8~2GHz,最终实现所需要的四频段LNA。

图1 整体电路图
1 噪声分析
高频下MOSFET的噪声主要包括漏电流噪声和栅电流噪声。对图1中带有源极电感的共源MOSFET进行噪声分析,得噪声系数为:
(1)
其中,Rs为信号源电阻;Zt=Zg+Zs+Zgs,Zg和Zs为连接到栅极和源极的阻抗,Zgs是连接输入管栅漏两端的阻抗,一般为1/jωCgs;
,为MOSFET的栅电流噪声,
,为漏电流噪声。
在功耗限制和阻抗匹配条件下,输入级品质因数Qs≡1/ωCgsRs在3.5~5.5之间时噪声系数能达到最小值,如式(2)所示。可以看到,理论上噪声只能在一个频率点下达到最优,而不可能同时在多个频率下具有最小值。随着频率ω的增大,噪声将变大。因此对于0.9GHz和1.9GHz两个频段而言,为了达到噪声系数的平衡,选择在噪声较差的高频段1.9GHz处进行噪声匹配,由此可确定Cgs大约为 0.48pF,对应的输入管尺寸为650μm(W)×0.35μm(L)。
Fmin≈1+2.3ω/ωT (2)
2 输入阻抗匹配
与传统的单频段LNA相比,本LNA的输入阻抗匹配网络必须同时在多个频段下匹配到50Ω。图2(a)所示为采用源端电感负反馈结构的输入阻抗匹配网络,其等效电路如图2(b)所示。其包括两个LC槽,其中,L0′=Lg+Ls,C0′=Cgs。输入阻抗可表示为:
(3)

图2(a) 输入阻抗匹配网络

图2(b) 输入阻抗匹配网络等效电路
根据阻抗匹配条件,可得出在多个频率下,输入阻抗的实部和虚部需满足以下条件:
gm1ls/Cgs=50Ω (4)
(5)
求解式(5),可得两个不同的ω值,ω1和ω2。因此,该输入网络在两个频段ω1和ω2下均可满足阻抗匹配的要求。
(6)
本设计中ω1和ω2的期望值分别为0.9GHz和1.9GHz,满足这两种频率下谐振的元件值L0、L0’、C0、C0’将不止有一组。而在实际设计所采用的工艺库中,电感值是一系列分离值,因此必须结合实际电感值进行选取。最终实现的元件值是L0=7.23nH,C0=2.5pF,Lg=10.5nH,Ls=1.14nH。
3 输出阻抗匹配
输出阻抗网络的设计与输入阻抗网络的设计类似,应考虑在多个频段下实现良好的匹配,同时输出级的设计还要满足增益的要求。图3(a)为本设计中的输出网络,其分为三部分, A1部分提供大的输出阻抗,以实现较高的增益;A2和A3共同实现双频带,A2负责阻抗下变换,将阻抗实部匹配到50Ω,A3则对虚部进行共轭匹配。

图3(a) 输出网络

图3(b) 等效输出网络
将输出网络等效为如图3(b)所示的形式,可得:
(7)
(8)
其中,Q1=ωL1/R1。
在输出网络的设计中,R1’越大,增益越大,Q1也越大,但此时R1就越小,输出网络带宽变小。由于高频段的设计是以1.9GHz为中心频率,输出网络的设计需使其具有足够的带宽覆盖1.8~2GHz,因此与L1串联的电阻R1的选取要使增益与输出网络带宽达到一定的平衡。
最终实现的元件值为L1=5.58nH,R1=15Ω,C1=1.6pF,L2=4nH,C2= 5.14pF,L3=8nH,C3=16.2pF。
仿真结果
基于TSMC 0.35μm SiGe BiCMOS射频工艺库,采用Cadence的SpectreRF仿真器对所设计的多频段LNA进行仿真,得到0.9/1.8/1.9/2GHz四频段下LNA主要性能指标如图4所示。

图4(a)S21指标

图4(b)S11和S22指标

图4(c) 噪声系数NF
图4(a)为LNA的增益S21,由图可看出,在感兴趣的频段内,LNA的增益均大于10dB,且带内波动控制在0.4dB左右。图4(b)所示为LNA输入反射系数S11和输出反射系数S22,与0.9GHz处相比,1.9GHz附近的频带宽度被适当的展宽,覆盖了1.8~2GHz,所需频段处S11和S22均在-10dB以下。在本设计中为了达到高低频下噪声的平衡,考虑在高频处进行噪声匹配。图4(c)为LNA的噪声系数NF和最小噪声系数NFmin,结果表明在所希望的高频处(约1.8GHz)确实实现了噪声的最优化,同时四个频段下的噪声系数都较为平衡,均小于3.3dB。
表1综合列出了各频段下的仿真性能指标。

Pre:用8位单片机实现串口-以太网转换器 2026-02-06
Next:基于单片机与光电传感器的电动自行车速度与里程表设计 2026-02-06

Collect
Navigate:






