超声波传感器在冷轧机中的应用
Update:2019-07-17 Views:12532
1 前言
在铝带冷轧机的电气控制中,卷取张力控制是必不可少的。在张力控制中,无论张力矩的给定,还是动态补偿力矩的计算都需要实时卷径,所以卷径计算是控制中极为重要的一环。
目前,铝轧机卷径的测量大都为间接方式,即通过测量带材线速度与卷筒转速来推算出卷径:
测量带材线速度的方法有两种,一是直接测量法,如激光测量法,基于经济条件和使用环境限制,目前还很少使用;二是间接测量法,也就是当前经常使用的在偏导辊上安装一个同轴转速传感器,通过测量偏导辊的转速求出带材线速度的方法,其计算公式为:
正常情况时,用式(1)计算出的卷径是准确的。但是,在实际应用时,往往出现下列几种情况,如按上述方法计算卷径,则存在着一定的缺陷和困难。
(1)偏导辊打滑
由于铝带冷轧机的特点,在同一台轧机上要进行多个道次的轧制才能完成产品生产。期间,带材的厚度变化达几十倍,张力的变化也很大,同时各道次的工艺润滑也不相同。结果在某些条件下,特别是带材较薄或加、减速时,偏导辊会产生不同程度的打滑现象,从而使线速度的测量值不准确。这会造成卷径计算值出现偏差,与实际卷径不符,轻则引起张力波动,影响带材质量,重则导致断带。
(2)偏导辊转速传感器安装困难
在铝箔轧机中,出口带材最小可到0.007mm,带材张力较小,偏导辊和带材之间的摩擦力也较小。为尽量减少打滑,减小偏导棍自身的转动惯量是有效的方法之一。所以,偏导棍一般都是空心的。另外,在一个空心的偏导棍上安装同轴的转速传感器非常困难,设备专业也希望采用别的测量方法。
(3)初始卷径需人工置入
在开卷机一侧,带材的初始卷径需要置入控制系统,目前大都为人工置入。这需要*作手认真置入,不仅繁琐而且*作手经常忘记或置错,这都将影响轧制时的张力控制。
2 超声波测量卷径的方法
为了解决上述缺陷和困难,目前,在冷轧机中采用超声波传感器来直接测量开卷侧卷径,再计算出卷取侧卷径的方法。
2.1超声波测量的基本原理
超声波传感器包括三个部分:超声换能器、处理单元和输出级,如图1所示。
首先处理单元对超声换能器加以电压激励,其受激后以脉冲形式发出超声波,接着超声换能器转入接受状态(相当于一个麦克风),处理单元对接收到的超声波脉冲进行分析,判断收到的信号是不是所发出的超声波的回声。如果是,就测量超声波的行程时间,根据测量的时间换算为行程,除以2,即为反射超声波的物体距离。
把超声波传感器安装在合适的位置,对准铝卷卷径变化方向发射超声波,就可测量带卷表面与传感器的距离,经过处理可得到带卷的直径。
2.2 环境对超声波测量的影响
(1)空气温度的影响
声波行程时间受气温的影响程度为0.17%/K。也就是说40℃时的声速相对于20℃时改变了+3.4%,因此测量距离也会改变约+3.4%。但如果选用的超声波传感器中有温度补偿功能,此影响可忽略不计。
(2)空气湿度的影响
从干燥的空气到饱和湿度的空气中,声速最多增加2%。因此测量距离改变最大也只有2%。实际现场中,空气湿度变化不会如此大,此影响一般小于1%。
(3)空气压力的影响
在一固定地点,正常情况下的气压波动为±5%,会造成声速波动约±0.6%。
(4)气流影响
当风速大于50km/h时,声波速度及方向的改变会大于3%。在现场使用中,只有靠近带材表面的几厘米的气流有可能大于20km/h,且垂直于测量方向,故对测量结果的影响可忽略。
(5)轧制油雾的影响
只要防止油雾沉降在超声换能器的有效表面上,就可避免它的影响。
2.3 测量开卷侧卷径
目前铝轧机铝卷的卷径变化范围一般为0.5m到1.7m,由于超声波测量的是铝卷的半径,所以超声波传感器的工作范围应满足大于为(1.7-0.5)/2=0.6m。再考虑到安装位置和安全距离以及传感器的盲区,超声波传感器到卷轴表面的距离一般应大于1.5m,故其测量距离应大于1.5m。经过选择,确定用德国P+F公司的传感器,具体型号为UC2000-30GM-IU-V1,其主要参数见表1。
测量开卷卷径的超声波传感器安装在开卷机地沟的外侧,既便于安装调试,又容易测量,如图2所示。
图2 超声波传感器安装位置示意图
选择传感器的输出为电压输出,直接连到全数字传动装置上。整定传感器的输出,当最大卷径(1.70m)时电压为10V,当最小卷径(0.54m)时电压为0V。这样当输出电压为U时,数字装置经过计算可知当前卷径D。
2.4 卷取侧卷径的计算
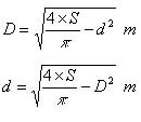
在轧制过程中,由于带材宽度基本不变,只是厚度变化,带材的纵向截面与卷筒的截面之和基本上是一个常数。基于这一规律,在完成初始卷径设置后,这个常数为:
式中D0为开卷机初始卷径,m;d0为卷取机初始卷径,m;D为开卷机轧制时的卷径,m;d为卷取机轧制时的卷径,m。
由式(4)可知,在轧制中,只要知道卷取或开卷中任一侧的卷径值,即可推算出另一侧的卷径值:
由于开卷侧的卷径D已由超声波传感器测得,所以可由式(6)计算出卷取侧的卷径。
2.5 初始卷径自动置入
由于超声波传感器上电后一直投入工作,可利用上卷后卷轴涨紧命令,作为初始卷径置入信号,从而完成卷径的自动置入。
3 减少偏差的方法
由于超声波测量卷径是直接测量,一旦在传感器和铝卷之间有其他物品(一般都是瞬间存在),卷径就会产生瞬间变化(偏差),会影响张力恒定。卷径这种瞬间变化就是测量的卷径值从某一值变大,再从大变回。而实际开卷卷径是从大变到小,渐进变化。为了克服这种瞬间变化,可采用本次测量值与上次测量结果相比较,谁小用谁,如式(7)处理。
DK=min(DJ,DK-1) (7)
式中DJ为用式(3)计算的本次卷径计算值;DK-1为上次测量计算的卷径;DK为本次测量计算的卷径。
另外,在轧制中,实际卷径既不可能超过最大卷径DMAX,也不可能小于卷筒的直径DMIN。所以计算结果都应该限制在此范围内,每次计算结果最终取值可用下式限制。
D,K=min[max(DK,DMIN),DMAX] (8)
4 结语
超声波测量卷径技术及上述处理方法经过在华益1 400mm等多台铝带冷轧机的卷径计算上的实际应用,取得了很好效果。实践表明:
① 测量装置工作稳定,卷径测量误差小于5mm,其精确性完全满足系统控制要求。
② 卷径的自动置入,简化了*作步骤,减小了辅助时间。
③ 与常规的卷径测量计算方法相比,采用超声波传感器简化了电气系统设计,不用安装偏导辊测速装置,可广泛应用于热轧机、冷轧机、铝箔轧机中。
Pre:磁传感器的测量电流的应用 2026-03-08
Next:高过载低量程测试传感器的选择比较 2026-03-08

Collect
Navigate:






