UC3842的内部结构和特点
UC3842为8脚双列直插式封装,其内部原理框图如图1所示。主要由5.0V基准电压源、用来精确地控制占空比调定的振荡器、降压器、电流测定比较器、PWM锁存器、高增益E/A误差放大器和适用于驱动功率MOSFET的大电流推挽输出电路等构成。端1为COMP端;端2为反馈端;端3为电流测定端;端4接Rt、Ct确定锯齿波频率;端5接地;端6为推挽输出端,有拉、灌电流的能力;端7为集成块工作电源电压端,可以工作在8~40V;端8为内部供外用的基准电压5V,带载能力50mA。
2电路结构与工作原理


图2所示为笔者在实际工作中使用的电路图。输入电压为24V直流电。三路直流输出,分别为+5V/4A,+12V/0.3A和-12V/0.3A。所有的二极管都采用快速反应二极管,核心PWM器件采用UC3842。开关管采用快速大功率场效应管。
2.1启动过程
首先由电源通过启动电阻R1提供电流给电容C2充电,当C2电压达到UC3842的启动电压门槛值16V时,UC3842开始工作并提供驱动脉冲,由6端输出推动开关管工作,输出信号为高低电压脉冲。高电压脉冲期间,场效应管导通,电流通过变压器原边,同时把能量储存在变压器中。根据同名端标识情况,此时变压器各路副边没有能量输出。当6脚输出的高电平脉冲结束时,场效应管截止,根据楞次定律,变压器原边为维持电流不变,产生下正上负的感生电动势,此时副边各路二极管导通,向外提供能量。同时反馈线圈向UC3842供电。UC3842内部设有欠压锁定电路,其开启和关闭阈值分别为16V和10V,如图3所示。在开启之前,UC3842消耗的电流在1mA以内。电源电压接通之后,当7端电压升至16V时UC3842开始工作,启动正常工作后,它的消耗电流约为15mA。因为UC3842的启动电流在1mA以内,设计时参照这些参数选取R1,所以在R1上的功耗很小。

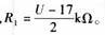
当然,若VCC端电压较小时,在R1上的压降很小,全部供电工作都可由R1降压后来完成。但是,通常情况下,VCC端电压都比较大,这样完全通过R1来提供正常工作电压就会使R1自身功耗太大,对整个电源来说效率太低。一般来说,随着UC3842的启动,R1的工作也就基本结束,余下的任务交给反馈绕组,由反馈绕组产生电压来为UC3842供电。故R1的功率不必选得很大,1W、2W就足够了。笔者认为,虽然理论上UC3842启动电流在1mA以内,但实际应用时,按1.6~2.0mA设计则工作比较便利。即当VCC端电压为U伏时
2.2稳压过程
从图2中可知,当场效应管导通时,整流电压加在变压器T初级绕组Np上的电能变成磁能储存在变压器中,在场效应管导通结束时,Np绕组中电流达到最大值Ipmax,根据法拉第电磁感应定律:
式中:E——整流电压;Lp——变压器初级绕组电感;Ton——场效应管导通时间。
在场效应管关闭瞬间,变压器次级绕组放电电流为最大值Ismax,若忽略各种损耗应为:
式中:n——变压器变比,n=Np/Ns,Np、Ns为变压器初、次级绕组匝数。
高频变压器在场效应管导通期间初级绕组储存的能量与场效应管关闭期间次级绕组释放的能量相等:
式中:Ls——变压器次级绕组电感;Uo——输出电压;Toff——场效应管关闭时间。
上式说明,输出电压Uo与Ton成正比,与匝比n及Toff成反比。比如,由于电源电压变化或负载变化而引起输出电压降低时,反馈线圈的输出电压则会变低,从而使2端电压变低,则脉宽调制器会相应的增大输出PWM波形的占空比,使大功率晶体管导通的时间变长;反之,当电源电压变化或负载变化而引起输出电压升高时,则脉宽调制器会相应的减小PWM输出脉冲波形的占空比,使大功率晶体管导通的时间变短,从而维持输出电压为一恒定值。
UC3842为固定工作频率脉宽调制方式,输出电压或负载变化时仅调整占空比,控制场效应管的导通时间。反馈电压输入2脚,此脚电压与内部2.5V基准进行比较,产生控制电压,从而控制脉冲宽度;输出脉冲的频率由4脚外接定时电阻Rt及定时电容Ct决定,f
Rt的单位取kΩ,Ct取μF。3脚为电感电流传感器端,当取样超过1V时,缩小导通脉宽,使电源处于间隙工作状态;6脚,输出端,内部为图腾柱式,上升、下降时间仅50ns,驱动能力为±1A;7脚,供电输入,起振后工作电压为10~13V,低于10V停止工作,功耗为15mW;8脚,内部基准5V(50mA)。
2.3过流保护原理
当负载电流超过额定值或短路时,场效应管电流增加,R9上的电压反馈至3脚(电压大于1V),通过内部电流放大器使导通宽度变窄,输出电压下降,直至使UC3842停止工作,没有触发脉冲输出,使场效应管截止,达到保护功率管的目的。短路现象消失后,电源自动恢复正常工作。
2.4过压保护原理
当因某种原因使输出电压过高时,由反馈绕组形成的电压也高,从而使2脚的电压过高,内部保护电路起动,使6脚输出脉冲高电平时间变短,或不输出高电平使开关管截止。
2.5开关管保护电路
由D3、R10、C1及R11、C14、D4构成,消除由变压器漏感产生的反峰电压,从而使开关工作电压不至于太高而毁坏。
3设计中的注意事项
3.1起动电路的设计
电路如图4所示,电容C2储存的能量要能满足电源开始正常 工作的需要,使得UC3842第7脚有稳定、充足的输入供给。即电容C2的放电时间要大于UC3 842输出脉冲的高电平持续时间。否则,电源将出现打嗝现象。因此,电容C2的容量和 质量的选取非常重要。笔者在实际设计过程中,C2曾用100μF铝电解电容,经常发现 电源打嗝;测量反馈端电压,总是太低,以至于反馈端的整流二极管都没有工作,说明反馈 端电压幅度不够。原因在于C2容量不够,不能提供足够的能量来使UC3842充分工作,因此 ,容量最好在100μF以上。
3.2反馈绕组的设计
当UC3842启动后,若反馈绕组不能提供足够的UF,电路就会不停地起动 ,出现打嗝现象。另外,根据笔者的经验,若UF大于17.5V时, 也会引起UC3842工作异常,导致输出脉冲占空比变小,输出电压变低。故而反馈绕组匝数的 选取及其缠绕是非常重要的,一般可按13~15V设计,使UC3842正常工作时,7脚的电压维持 在13V左右。

4结束语
UC3842是一种性能优良的电流控制型脉宽调制器。假如由于某种原因使输出电压升高时,脉 宽调制器就会改变驱动信号的脉冲宽度,亦即占空比D,使斩波后的平均 值电压下降,从而达到稳压目的,反之亦然。UC3842可以直接驱动MOS管、IGBT等,适合于 制作20~80W小功率开关电源。由于器件设计巧妙,由主电源电压直接启动,构成电路所需 元件少,非常符合电路设计中“简洁至上”的原则。
询价热线:
0755-83283733, 83031813,33062500
QQ:623069669
MSN:sumzi003@sumzi.com sumzi006@sumzi.com
Email:sumzi@sumzi.com
http://www.sumzi.com
Pre:NXP推出采用开放标准加密技术的有限使用MIFARE IC 2026-02-06
Next:ST推出1/4英寸光学格式3百万像素Raw Bayer传感器 2026-02-06

Collect
Navigate:






