各种各样的放大电路
为了获得大的输出以及低失真和良好的频率特性等,人们对实际应用中的电子设备的放大电路,以至今学过的简单电路为基础,进行了各种各样的改良。
这里,首先讨论在需要获得大的增益时所采用的两个三极管级联连接的情况下,两级低频
RC耦合电压放大电路的结构和工作原理,同时对利用等效电路求解放大倍数的方法等进行学习。然后,讨论为了使失真、噪声、频率特性等得到改善,将输出电量的一部分反相返回到输入端的负反馈放大电路的结构和工作原理,并且对电视接收机中为传送直流量所使用的射极跟随放大电路和直接耦合放大电路的结构和工作原理等进行分析研究。
4.1
两级低频RC耦合电压放大电路4.1.1
电路的结构低频放大电路是放大
20HZ到100HZ左右的低频信号的电路,也称为音频放大电路。另外,当使用1个晶体三极管不能获得所需的放大倍数时,就将多个三极管级联连接。这种情况下,第一个三极管称为初级,其次的称为第2级。若用电阻R和电容C对初级和第2级进行耦合,就称其为RC耦合放大电路,是最常使用的电路。图
4.1、图4.2所示为这样的2级低频RC耦合放大电路的实例和电路图。图4.2中的电阻和电容的作用,如表4.1所示。如图
4.3所示,在没有旁路电容CE的情况下,成为放大的实际输入的基极-发射极间的交流电压vBE为施加在基极-地之间的输入电压vi与发射电阻RE上的电压降vE之差,如下所示:v
BE=vi-vE即由于
vBE比vi只减小了vE,所以只有这部分的输出降低。可是,旁路电容
CE和RE并联连接的图4.4的发射极电路,因为交流量通过CE流掉,所以交流量的电压降vE变为接近0V,防止输出的降低。这时,对直流量而言,产生VE=IERE[V]的电压降,起着电流反馈偏置的作用。4.1.2
电路的放大倍数在图
4.2的电路中,电容C1、C2、C3、CE1、CE2、的容抗,通常相对所使用的频率被认为极小,可以忽略不计。因此,与交流分量相关的电路变成如图4.5所示。由此得出的等效电路可以表示为如图4.6所示。另外,2SC1815的h参数由表4.2给出。(
a)?/FONT>初级的电压放大倍数Av1因为初级的负载电阻
RL'为RL1、RA2、RB2、hie2的并联等效电阻,所以Av1如下所示(参照图4.5,图4.6):![]()
(b) 第2级的电压放大倍数Av2
因第
2级的负载阻抗RL''仅含有负载RL2,故Av2如下所示:![]()
(c) 整个电路总的放大倍数Av
放大电路由多个晶体三极管级联连接的情况称为多级放大电路,这时总的电压放大倍数可以用各级的电压放大倍数的乘积求得。
因此,两级放大电路的总电压放大倍数
Av如下所示(参照图4.7):Av=Av1Av2=37×127=4699≈4700倍
还有,这种情况下的输入阻抗,根据图4.6约为6KΩ
4.2
负反馈放大电路4.2.1 反馈电路中含有正反馈和负反馈
将放大电路输出的一部分返回到输入端,称为反馈(feedback),如图4.8所示,根据信号源电压vs和返回到输入端的电压vf的相位关系,反馈有如下所示的正反馈和负反馈。
(1) 正反馈(positive feedback:PFB)?/FONT>s和vf为同相,使用于下面将学习的振荡电路。
(2) 负反馈(nagetive feedback:NFB)vs和vf为反相,多应用于以改善放大电路的特性为目的的场合。
4.2.2 负反馈放大电路的结构
图4.9所示的是一个将Tr2输出的一部分通过RF返回到Tr1的输入端的负反馈放大电路。从输入端看进去,如图4.10所示,信号源的电压vs和返回到输入端的电压vf,若从Tr1的基极-发射极间看去,则互相变成反相。
因此,放大电路的输入电压vi为vs与vf的差,由下式表示:
vi=vs-vf
这里,返回到输入端的电压
vf称为反馈电压,vf与vo的比称为反馈系数β,即![]()
4.2.3 负反馈电路的电压放大倍数
在放大电路中,对于没有施加负反馈时的输出电压vo,若令电压放大倍数为Av,输入电压为vi,则由于Av=vo/vi,所以有下式成立:
vo=Avvi
其次,对于施加负反馈时的输出电压
vo,由于放大电路的输入电压vi为vs-vf,所以有vo=Avvi=Av(vs-vf)=Av(vs-βvo)
另外,整个电路负反馈时的电压放大倍数
Avf由下式给出为![]()
因此,在图
4.9的电路中,Av=650,β=0.1,Avf如下所示:![]()
4.2.4 负反馈放大电路的种类
对负反馈放大电路的反馈方式进行粗分有如图4.11所示的串联反馈(也称为电流反馈)和并联反馈(也称为电压反馈)两种。
4.2.5 负反馈放大电路的优点
RC耦合放大电路中的耦合电容及旁路电容,在低频范围,即在低频区根据XC=1/(2ΠfC),容抗变大。因此,在低频区由于这些电容,放大倍数降低。另外,在高频范围,即在高频区,由集电极-发射极间的输出电容、连线与连线间的分布电容、晶体三极管自身hfe的降低等引起放大倍数的降低(参照图4.12)
可是在负反馈放大电路中,由于当1《βAv时,可以看作1+βAv≈βAv,所以有
![]()
Av变得仅由β决定,而与无关Av。
因此,若反馈电路是电阻等的元件,就可以改善频率特性。图4.13所表示的是在图4.9的电路中有负反馈和无负反馈的情况。除此之外,负反馈放大电路还有如下所示的优点:
(1)
可以使放大电路内的失真和杂音变小。(2)
相对温度、电源电压的变化,(3) 可以获得稳定的增益。(4)
可以方便地改变输入、输出电阻。
4.3
射极跟随放大电路和直接耦合放大电路4.3.1 射极跟随放大电路(共集电极放大电路)
射极跟随放大电路虽电压增益低于1,但输入与输出同相,并且能够使输入阻抗变高,输出阻抗变低,故作为阻抗变换器如图4.14那样也使用在电视接收机中。这一射极跟随放大电路也称为共集电极放大电路,如图4.15所示,是集电极接地,输出从连接发射极的负载电阻RL上取出的电路。
(a) 增益
射极跟随放大电路的增益,从图
4.17的等效电路可得。输入电压
vi为vi=hieib+iERL=hieib+(ib+hfeib)RL
=hieib+(1+hfe)ibRL
输出电压
vo为vo=iERL=(ib+hfeib)RL=(1+hfe)ibRL
因此,电压增益
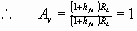
Av为![]()
这里,因通常
满足Hie《(1+hfe)RL,故hie可被忽略不计。![]()
因为射极跟随放大电路的电压增益为
1,所以不能使输出电压增大。(
b)输入阻抗和输出阻抗(1) 输入阻抗 接入发射极的电阻RL,如图4.18所示,与对其(1+hfe)倍后再接入基极起着相同的作用。
根据图4.18,从基极至地看去的输入阻抗Zi为
Zi=hie+(1+hfe)RL
这里,因通常满足
hie《(1+hfe)RL,故Zi变为Zi=(1+hfe)RL
因此,输入阻抗变大,即使与前级电路相接,也不会降低其频率特性。
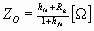
(2) 输出阻抗 所有的信号源中都含有内电阻Rg,虽要求不是很严格时几乎可以忽略掉,但对射极跟随电路的输出阻抗而言,由图4.19所示的等效电路可知,因其与hie是串联的,故不可忽略。
根据图4.19,输出阻抗Zo如下所示:
![]()
例如,假设
Hie=20kΩ,hfe=140,Rg=1kΩ,则有![]()
即使信号源的内阻抗为
1kΩ,但若与射极跟随电路连接,则输出阻抗变为150Ω。因此如果输出阻抗可变低,则具有输出信号对其它电路易分配的优点。4.3.2 直接耦合放大电路
通常广泛地被使用的RC耦合放大电路,由于耦合电容C的存在,可以放大交流量,阻隔直流量。于是,在如图4.14所示的电视接收机的图像放大电路中,因为直流量对呈现画面背景的亮度是必须的,所以用RC耦合放大电路不行。故此,如图4.16所示的电路,是除去耦合电容C的前级和后级直接连接的直接耦合电路,适用于放大从直流到低频的信号。在图4.16中,从Tr2的发射极到Tr1的基极间接有10 kΩ的电阻RF,这是对直流量的负反馈电路,仅对电路的偏置起着稳定作用。因此,对交流量而言,RF不构成负反馈电路。
这里,电路总的电压增益以及对数增益根据图4.20的等效电路,可以按如下方法求得。
初级的电压增益Av1为
![]()
第2级的电压增益
Av2为![]()
因此,电路总的电压增益以及对数增益
Gv如下所示:Av=Av1Av2=37.7×140≈5300
Gv=20logAv=20log105300≈74dB
本章小结
旁路电容
是与发射极电阻
RE并联的电容CE,因为在RE上产生的交流量通过CE流掉,所以起着防止增益下降的作用。两级放大电路的增益
总的增益可以用级联的每一级的增益之积来求取,如下所示:
![]()
负反馈放大电路的优点
输出电量的一部分以反相位的方式返回到输入端,在频率特性改善的同时,使失真与噪声减小,即使温度和电源电压变化仍能获得稳定的增益。
电压反馈系数和负反馈放大电路的电压增益
返回输入端的电压
vf和输出电压vo的比称为电压反馈系数β,如下所示:β
=vf/vo另外,对负反馈时的电压增益
Avf,假设没有加上负反馈时的增益为Av,则有Avf=Av/(1+βAv)
射极跟随放大电路
电压增益低于
1,输入与输出同相,且可以使输入阻抗变高输出阻抗变低。输入阻抗
Zi=(1+hfe)RL[Ω]输出阻肮
式中
Rg为信号源内阻直接耦合放大电路
是晶体三极管直接连接的电路,适用于直流、低频信号的放大。
上一篇:功率放大电路 2026-04-12
下一篇:集成运算放大器的电路构成与原理 2026-04-12

收藏本站
当前位置:






