新到现货 THS119报价 提供技术参数(PDF文档)下载
发布时间:2009-04-09 浏览:5300次
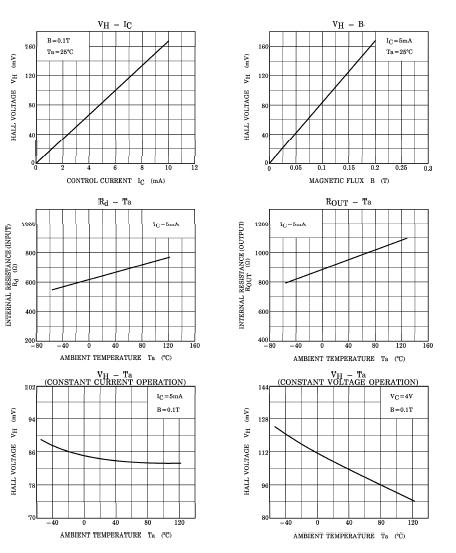
【产品型号】THS119
【产品类型】砷化镓GaAs霍尔元件
【产品规格】4-lead SIP
【生产厂家】TOSHIBA
【技术参数】THS119 技术参数下载
【产品说明】全新原装现货,06年无铅,详情请直接来电与我联系!!!


询价热线:
0755-83283733, 83031813,33062500
QQ:623069669
MSN:sumzi003@sumzi.com sumzi006@sumzi.com
Email:sumzi@sumzi.com
http://www.sumzi.com
上一篇:1SS133T-77 ROHM 芯片 原装 现货 热销 价格 优惠 2025-11-26
下一篇:TLE4966H原装现货 提供技术参数及报价 2025-11-26

收藏本站
当前位置:






