产品中心

\ Products

霍尔IC

电动机的智能保护及处理

简要描述:

打印当前页

免费咨询:0755-83031813

发邮件给我们:sumzi@sumzi.com

分享到:

产品概述:

当电动机发生各种不对称故障时,应用对称分量法,可将定子电流分解为正序、负序和零序分量。电动机在正常运行时负序和零序分量没有或很小,一旦出现,则表示电动机发生了故障。因此可利用负序和零序分量的有无来鉴别各类不对称故障。电动机的对称过载、短路等以过电流为特征的故障可通过检测电流幅值来检测其过流程度。这样以检测过流、负序和零序电流分量为基础的故障判据将具有很高的灵敏度和可靠性。

2 关于过流、负序和零序电流的故障判据
  电动机的故障形式可分为对称和不对称两类。
  对称故障包括过载、堵转和三相短路等,这类故障对电动机的损坏主要是热效应和机械应力,使绕组发热甚至损坏。其主要特征是三相仍基本对称但同时出现过电流,故障严重程度基本反映在过电流的程度,因此仍然以过流程度作为这类故障的判据。对于严重的三相短路的保护应采用速断跳闸;堵转故障的保护应采用短时限跳闸;而对于对称过载应采用及时限跳闸,反时限特性应与电动机的温升指数特性相配合。
  不对称故障又可进一步分为非接地性和接地性两类。
  非接地性不对称故障,主要包括断相、相间短路、匝间短路及不平衡运行等。这类故障会引起三相电流不对称。由于我国电动机的中心点不接地,故定子电流可分解为正序和负序分量(零序分量为零)。而电动机在正常运行时负序电流分量基本没有,所以采用负序电流分量作为这类故障的判据。这类故障对电动机的损害主要是负序电流引起的负序效应,可能造成电动机端部发热、转子振动及起动力矩降低等一系列问题,如果有过电流出现,还会使绕组发热。这类故障的保护应采用短时限跳闸或速断。
  接地性不对称故障,包括单相接地短路和两相接地短路。由于电动机外壳必须安全接地,因此绕组端部碰壳、绝缘破坏等都可能导致接地故障,特别是处在尘埃重或湿度大的环境下,故障率就更高。发生接地性不对称故障时,会出现零序电流分量,这是区别其它任何非接地性故障的根本特征,可作为接地性故障的主要判据。这类故障应采用速断或短时限跳闸加以保护。
  由以上分析和实验表明,过电流、负序和零序三个分量的不同分布组合与各故障类型之间具有很好的对应关系,表1列出了这样的对应关系,即故障诊断表。

表1 电动机常见故障诊断表

 

故 障 类 型 零 序 负 序 过 电 流 其它故障特征 保 护 特 性
对称
故障
过 载 (1.2~5)Ie Ia≈Ib ≈Ic 反时限
堵 转 (5~7)Ie Ia≈Ib≈Ic 短时限
短 路 (8~10)Ie Ia≈Ib ≈Ic 速 断
不对称故障 非接地 断 相 2n.gif (217 bytes) 2o.gif (170 bytes) Ia=0, Ib=-Ic 短时限
逆 相 Ia Ia≈Ib≈Ic 速 断
不平衡 Ia≠Ib≠Ic 短时限
相间短路
(其值取决于位置)
Ib≈Ic>Ia 速 断
接地 单相接地 2p.gif (188 bytes) 取决于位置 Ia>Ib≈Ic 速 断
二相接地 2p.gif (188 bytes) 取决于位置 Ib,Ic>Ia≈Io 速 断

 
  注:1.单相故障设A相为故障相;两相故障设B、C相为故障相。
    2.Io表示故障前电流幅值,Ie表示额定电流;ΣI=Ia+Ib+Ic。
3 故障判据的实现及装置功能框图
  电动机故障实现智能化诊断及综合保护的核心是故障判据,即对过电流、负序和零序电流的检测,根据检测的信息,并应用电子线路或微机实现故障自动诊断及保护。
3.1 故障判据的实现
  由对称分量法知道,三相电流2b.gif (114 bytes)2c.gif (122 bytes)2d.gif (113 bytes)、可分解为正序2e.gif (110 bytes)、负序2f.gif (121 bytes)和零序2h.gif (118 bytes)三个分量,而负序和零序分量可由下式求出:

 


 2a.gif (1334 bytes)

式中 α =ej120°

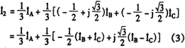
2i.gif (2400 bytes)

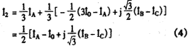
将式(2)代入式(3):

2j.gif (1992 bytes)

  根据(4)式可用硬件构成负序滤过器,如图1所示。它由两只电流互感器组成,LHA原边通过2b.gif (114 bytes)和32h.gif (118 bytes),副边接电阻R,LHBC原边通过2c.gif (122 bytes)和-2d.gif (113 bytes), 副边接电容C,实现90°移相。 当B相断相故障时, 负序滤过器向量图如图2(此时2b.gif (114 bytes)=-2d.gif (113 bytes)2h.gif (118 bytes)=0)。

0201.gif (3744 bytes)

图1 负序滤过器

 

0201.gif (3744 bytes)

图1 负序滤过器

  图1负序滤过器中各参数要满足(5)式:

0202.gif (1247 bytes)

图2 B相断相时负序滤过器相量图

 

0202.gif (1247 bytes)

图2 B相断相时负序滤过器相量图

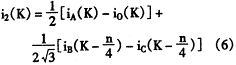
  2k.gif (1009 bytes)

  根据(4)式,负序电流也可通过微机的软件算法求出,第K步的负序电流的瞬时值i2(K)计算如下:

  2l.gif (1634 bytes)

式中 n─一个交流周期内的采样点数;
   i0(K)─零序电流在第K步时的值。

  2m.gif (1002 bytes)

  式(7)实际是用软件计算零序电流的递推公式。同负序电流一样,也可用硬件检测零序电流,即通过常规的零序电流互感器来检测。
  过电流的检测首先检测电流幅值,然后与额定值比较,即得到过流程度。无论是用硬件还是用软件都很容易实现。
3.2 保护装置原理框图
  图3是智能化电动机综合保护框图。电动机三相电流通过检测环节,得到过流、负序和零序分量的信息,根据电动机故障诊断表判别故障类型及程度,将故障诊断结果输出,向运行检修人员发出报警和提示,然后根据各故障要求的保护特性,启动跳闸执行机构实行保护。

0203.gif (12946 bytes)

图3 智能化电动机综合保护框图

 

0203.gif (12946 bytes)

图3 智能化电动机综合保护框图

更多精彩请点击响拇指官方网站:http://www.sumzi.com

Copyright © 2002-2026 深圳响拇指电子科技有限公司 版权所有 粤ICP备11091659号 0755-83031813