晶体三极管放大电路的基础
面向话筒说话的声音之所以能够通过扬声器变大传出,是因为其间存在将微弱的电信号放大的放大电路。这样的放大电路,在以晶体三极管为核心构成的各种电子电路中,是最基本的电路。
这里,首先对最基本的晶体三极管放大电路,通过考察各部分的波形,理解直流分量和交流分量如何叠加完成放大作用。其次。为了不失真地放大输入信号,了解偏置的必要性,学习有关固定偏置电路,电流反馈偏置电路的结构和设计方法。
进而学习如何根据特性曲线简便地通过作图的方法求得偏置和放大倍数,并学习特性曲线的斜率用数值表示的
h参数的定义和利用h参数等效电路求解放大倍数的方法。
3.1 简单的放大电路的工作原理
3.1.1 简单的放大电路的构成
图3.1(a)是由晶体三极管、电阻、电容、电源构成的最简单的放大电路,图(b)是图(a)的电路原理图。
对放大电路的输入所施加的是从称为信号源的麦克风、录放机等而来的极小的输出电压。放大电路的输出,连接有称为负载的扬声器、蜂鸣器等。电容C
1在起着隔直作用的同时,仅让从信号源来的像语音电流那样的交流通过,是信号源和晶体三极管之间的连接元件。C2是使负载中仅有交流流通的元件,C1、C2都称为耦合电容(参照图3.2)。电阻R
B是决定基极电流IB值的元件,也称作为偏置电阻。电阻R
L称为负载电阻,是为了获取输出电压的元件。
3.1.2 由各部分的波形考察了解放大电路的状况
在信号源的输出中,混入有各种各样的频率、振幅的信号,另外负载也根据种类不同,具有各种各样的电阻值或阻抗值。
这里,为了说明简单,假设输入为具有单一频率恒定振幅的正弦波交流电压(输入信号电压简称为输入电压)。
图3.3为称作示波器的波形观察仪器,图3.1的放大电路的输入与输出波形显示在显象管中。
下面,让我们来观察各部分的波形。
- 基极端
如图3.4(a)所示的输入电压v
i,通过耦合电容C1施加在基极-发射极间,根据从电源流过偏置电阻RB的直流IB,在基极-发射极间产生直流电压VBE。因此,在基极-发射极间,施加的是VBE和vi叠加起来的如图(b)所示的电压VBE+vi。另外基极流过与VBE+vi成比例的如图(c)所示的基极电流IB+ib。- 集电极端
集电极端与基极端一样,直流集电极电流I
C从电源流过负载电阻RL,根据基极电流IB+ib的控制,有如图3.5(a)所示的集电极电流IC+ic流通。根据这一集电极电流,集电极-发射极间产生的直流成分和交流成分的电压变成如下所示(参照同图(b))。但是,对交流成分的集电极压v
c,有vc=RLic。①当输入电压为0V时,因为集电极电流只有直流成分I
C,所以集电极-发射极间电压VCE只是比电源电压VCC降低了由负载电阻RL产生的电压降RLIC。②当输入电压正向增大时,因为集电极电流I
C+ic也增加,则由RL引起的电压降变大,所以集电极-发射极间电压减小。反之,若vi反向增大,则集电极-发射极间电压将增大。因此,对集电极-发射极间电压V
CE+vc,由于其直流成分被耦合电容C2所阻隔,所以输出电压vo变得如图3.5(c)所示的输出电压,就可明白:①当输入电压v
i=10mv时,因为输出电压vo=1.7v,所以输出被放大到输入电压的170倍。②当v
i正向增加时,vo为反向增加。即vi和vo之间存在180○的相位差,这称为输入输出的相位反转。
3.2 偏置的必要性和偏置电路
3.2.1 偏置的必要性
在前述放大电路中,只着眼了放大的情况,晶体三极管以直流成分为中心交流成分叠加其上进行工作,输出波形可与输入波形成比例地无失真地放大。这里,电极间的直流电压、直流电流通常称为偏置电压、偏置电流,也简称为偏置(参照图3.9)。
图3.6(a)是发射结没有加上偏置电压的情况。因为发射结正如已经学过的那样由pn结组成,所以只有在v
i的正半周期中成为正偏,如图(b)②所示基极电流流通。因此,由于集电极电流ic仅在ib流通时流通,结果出现如图(b)③所示的输入波形的一半被放大的情况。于是如图3.7(a)所示,若对B、E间施加直流电压V
BE,即偏置电压VBE一旦加上,则偏置电流IB就流通,令IB≥ibm(基极电流交流成分的最大值),则集电极电流IC+ic如图(b)③所示,获得与输入波形成比例变化的波形。还有,即使加上偏置电压V
BE,但假如此时流通的偏置电流Ib<ibm,则基极电流IB+ib变得如图3.8(a)所示,集电极电流IC+ic变得如同图(b)所示,波形产生了失真。因此,放大电路设计时必须设置适当量的偏置。
3.2.2 偏置电路
前节的放大电路中,没有在发射结之间专门使用称为V
BE的电源,那么,偏置是如何产生的呢,让我们对下面的偏置电路进行分析。- 固定偏置电路
若只考虑与直流有关的部分而重画前节放大电路的电路图,则变为图3.10。
这是最简单的偏置电路,偏置电流I
I
B=(VCC-VBE)/RB式中V
BE的值对锗晶体三极管而言约为0.2V,对硅晶体三极管而言约为0.6~0.7V。因此,由于一旦给定V
CC的值,由该电路中的IB就基本决定,所以该电路称为固定偏置电路。它虽电路简单且功耗小,但由于对温度的稳定性能差,故用于像玩具那样的放大倍数不高、保真度要求低的场合。作为最通常被使用的偏置电路,有如图3.11所示的电流反馈偏置电路。与固定偏置电路的不同的是将R
A和RE接入了偏置回路。这种情况下,由于RA和RB是对电源电压进行分压的元件,故称为分压电阻。另外,RE虽称为发射极电阻,但由于它具有使偏置稳定的作用,故又称为稳定电阻。这个电路的工作原理如下(参照图形3.11、图3.12):
①流过分压电阻RA的分压电流IA为基极电流IB的10倍以上,令RA端电压VB即使当基极电流变化时也基本保持不变。因此,偏置电压VBE为VB与VE的差,如下式所示:
VBE=VB-VE=VB-IERE(参照图书馆3.11)
②现在,一旦温度上升,IC增加,则因为发射极电流IE增大,IERE也增大,所以VBE减小。
③若VBE减小,则由于IB减小,所以可抑制IC的增加。
因此,电路虽较复杂,但对于温度变化的稳定性好。
- 3如何确定偏置电路的电阻值
3.3.1集电极电流和负载电阻的确定方法
放大电路设计时的电源电压,考虑到放大电路的用途、晶体三极管及负载的种类等,采用从电池或稳压电源电路获取电压等,选择适合于相应状态的电压就可以。
其次,考虑如何确定集电极电流和负载电阻的值。下节将详细叙述,在图3.13的电路中,因为集电极-发射极间的电压VCE取值为电源电压VCC的1/2,所以可从负载电阻RL上获取最大的输出。因此,同图电路中负载电阻RL上的电压降变成电源电压剩下的一半,集电极电流IC表示为下式:
![]()
即选择集电极电流IC,以使VCE成为1/2的VCC即可。
如上所述,首先确定电源电压VCC,然后若确定了IC,则RL确定。如果,根据负载的种类RL先确定下来的话,则IC在其后确定。通常,IC先被确定的时候居多,特别是对信号放大时的初级晶体三极管,由于输入电压很小,偏置电流尽可能取得小一些以防止杂音的产生,所以集电极电流取得小一些。
还有,人们一般认为若对图3.13中的负载电阻R
L取较大值,则RL的输出电压将变大,但如图3.16所示,输出或产生失真,或输出电压降低。其原因是由偏置的不恰当引起失真和一旦IC降低到某种程度就会导致hFE降低,从而使输出电压降低。
3.3.2 偏置电路电阻值的确定方法
设计偏置电路时,如前面已学过的那样,对电源电压、集电极电流、负载电阻的值等有事先确定的必要。这些称为偏置电路的设计条件。
(a) 固定偏置电路的电阻值
试求图3.14中的偏置电阻R
B。首先,作为设计条件选定如下的值:电源电压V
CC=9V偏置电压V
BE=0.67V集电极电流I
C=2.5mA直流电流放大倍数h
FE=140对基极电流I
B,根据hFE=IC/IB,有![]()
另外,根据前节图3.10,R
B满足下式:![]()
因此,虽R
B的标称值取为470K,但因为电阻器也存在误差,所以IC选用的值接近2.5mA。(b) 电流反馈偏置电路的电阻值
试求图3.15中的R
A、RB、RE的电阻值。设计条件与固定偏置电路部分相同,如下所示电源电压V
CC=9V偏置电压V
BE=0.67V发射极电流I
E=集电极电流IC发射极电压V
E为电源电压VCC的20%集电极电流I
C=2.5mA直流电流放大倍数hFE=140
IA是IB的10倍
①RE的确定 因为VE是VCC的20%,所以VE=1.8V,另I
E=IC=2.5mA,则![]()
②R
A的确定 基极电流IB为![]()
因为IA是I
B的10倍,所以I
A=10IB=10×18×10-6=180μA又,R
A的端电压VB(参照图3.15)为V
B=VBE+VE=0.67+1.8=2.47V因此,对R
A有![]()
③R
B的确定 流过RB的电流IA+IB为I
A+IB=180μA+18μA=198μAR
B的端电压VA为V
A=VCC-VB=9-2.47=6.53V因此,R
B由下式确定为![]()
3.4 根据特性曲线求解偏置和放大倍数的方法
3.4.1 利用特性曲线图求解偏置电压和偏置电流②
晶体三极管的电压和电流的关系可以用静态特性曲线表示,利用这一特性曲线,试对图3.17所示的放大电路中的偏置电压、偏置电流进行求解。
(a) 直流负载线的画法
如图3.17所示,对晶体三极管接入负载,取出其上输出时的特性称为动态特性。对这个电路若只考虑直流成分,则变为图3.20,集电极是电压V
CE如下所示:V
CC=VL+VCE+ICRL+VCEV
CE=VCC-ICRL根据上式,为了将V
CE和IC的关系用VCE-IC特性曲线来表示,按以下步骤进行(参照图3.19)。①求V
CE=0时的IC=ICA。I
CA=VCC/RL现在,因为V
CC=9V,RL=1.8K,所以VCE为0V时,有ICA=5mA,将其取作A点。②求I
C=0时的VCE。V
CE=VCC故I
C=0时,有VCE=9V,将其取作B点。③连接A点和B点画直线段 因为这一直线段AB的斜率由负载电阻R
L决定,所以称为负载线。(b)偏置电压和偏置电流的求解方法
V
CE和IC的关系总是反映在负载线上,负载线上任意的点被称为工作点。因而根据工作点可以求出偏置。例如若在图3.19中将工作点置于P,则有VCE=4.5V,IC=2.5mA,IB=18μA。另外,对于这一IB的值,可以应用图3.18的VBE-IB特性曲线,根据工作点P可得VBE=0.67V。(c) 由工作点的偏移引起的输出电压的失真
为了使输出电压
vo无失真地放大,由于将VCE置于中点,vo可以有较大的动态范围,所以必须注意VCE和vo的关系。例如,如图3.21所示,将VCE置于左右错开2V、8V之处,若以此为中心叠加上振幅为2.5V的vo,则vo如同图所示,将产生失真。因此,由上述分析可见对如图3.19所示的V
CE值,由于其取值为电源电压的1/2,即处于负载线的两等分点处,故可获得最大的无失真输出电压vo。
3.4.2 交流成分的工作原理
当输入电压v
i施加到如图3.17所示的电路上时,放大的情况如下所述(参照图3.18、图3.19):①可以表示出在V
BE-IB特性曲线上,以VBE=0.67V为中心,输入电压有vi=10mV的变化。即vi以P为中心,在P1和P2之间变化。②可以表示出在V
CE-IC特性的直流负载线上,ib的变化、ic的变化、输出vo的变化,均分别以工作点P为中心,在P1和P2之间进行。③因此,输出电压v
o以 VCE=4.5V为中心,以1.7V的振幅进行变化。
3.4.3 电压放大表示和增益
输出电压v
o和输入电压vi之比称为电压放大倍数Av,由下式表示:A
v=vo/vi另外,电压放大倍数也有用对数表示的,这称为电压增益G
v,如下表示,以[dB]作为单位。G
v=20log10Av[dB]因而,在图3.17的电路中,有A
v=170倍,Gv=44.6dB。还有,除电压之外,电流、功率也有放大倍数和增益,它们各自的关系如表3.1和表3.2所示。
3.5 用晶体三极管的四个参数画出等效电路
3.5.1 晶体三极管的四个参数是什么
为设计晶体三极管电路,可以利用晶体三极管的静态特性来求出偏置、放大倍数等。仔细观察发现这一静态特性的利用范围几乎是线性部分。为代替静态特性,可以用线性范围内的某一部分的斜率以数值的形式来表示特性曲线,称其为h参数。在2.4节,只演示了实际使用的三条特性曲线,如图3.22所示,根据四条特性曲线,有如下所示四个h参数。
H
fe(电流放大倍数):是IB-IC特性曲线的斜率,hfe=△IC/△IBH
ie(输入阻抗):是VBE-IB特性曲线的斜率,hie=△VBE/△IB[]H
oe(输出导纳):是VCE-IC特性曲线的斜率,hoe=△IC/△VCE[S]H
re(电压反馈系数):是VCE-VBE特性曲线的斜率,hre=△VBE/△VCE以上h参数的值,不仅根据晶体三极管种类的不同而有差异,而且,即使是同一个晶体三极管,也会根据集电极电流I
C、集电极-发射极间电压VCE、周围温度Ta等测定条件的不同,发生如图3.24所示的变化。
3.5.2 利用h参数可以表示晶体三极管的等效电路
晶体三极管电路的放大倍数虽可以利用静态特性通过作图的方法进行求解,但若直接计算则更为方便。因此,有必要学习利用h参数来表示晶体三极管对交流的作用的晶体三极管等效电路。图3.25所表示的是在晶体三极管输入、输出端的电压和电流。
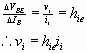
(a) 输入端的等效电路
在图3.26中的V
BE-IB特性曲线上,因为△VBE与交流量的vbe=vi相当,△IB与交流量的ib=ii相当,所以,各自的关系如下式所示:
因此,基极-发射极间相对于交流的输入阻抗与h
ie相等,输入端的等效电路可以用图3.27表示。(b) 输出端的等效电路
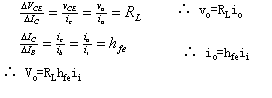
在图3.28中的V
CE-IC特性曲线上,△VCE与交流量的vce=vo、△IC与交流量的ic=io、△IB与交流量的ib=ii相当,分别求解各关系,有下列各式成立:
因此,集电极-发射极间,与负载电阻R
L上流过hfeii的电流的电路等效,输出端的等效电路可以表示为如图3.29所示。(c) 晶体三极管完整的等效电路
若将图3.27、图3.29合二为一,则构成晶体三极管完整的等效电路,可用图3.23表示。这样的等效电路称为简易等效电路,完全胜任于实际应用。这里,如果R
L》1/hoe,就使用图3.30的等效电路。
3.6 利用等效电路求取放大倍数的方法
3.6.1 利用h参数等效电路求取放大倍数的方法
图3.17所示放大电路的电压放大倍数,已利用特性曲线由图解法获得,这里试根据h参数等效电路,通过计算的方法来求取。
放大电路的h参数,通常采用表示在产品目录、规格手册等上的数值。如前所述,这些值随测试条件的不同而变化,这里选用与3.4节的情况相同的条件,则h参数如表3.3所示。
图3.31所示的放大电路,对交流而言是将R
B接入基极-发射极之间,而将RL接入集电极-发射极之间。但是,由于RB和hie成为并联且RB》hie,所以RB可以忽略不计。另外,因RL和1/hoe成为并联且1/hoe》RL,所以1/hoe可以忽略不计(参照图3.32)。因此,图3.31的放大电路,可以用图3.33所示的简易等效电路来表示。
- 电压放大倍数
因为电压放大倍数A
v是输出电压vo和输入电压vi之比,所以由等效电路得下式:![]()
将表3.3中的数值代入,得
这样,电压放大倍数与在3.4节由图解法求得的值基本一致。
(b) 电流放大倍数和功率放大倍数
电流放大倍数A
i和功率放大倍数Ap,也可以根据等效电路按如下方式求得。
(c) 输入阻抗和输出阻抗
如图3.34所示,从输入端的基极-发射极间,以及从输出端的集电极-发射极间分别向三极管内部看去时的阻抗称为输入阻抗Z
i和输出阻抗Zo虽在简易等效电路中,1/hoe省略了,但实际上它存在于集电极-发射极之间。因此,根据同图(b)和表3.3,Zi、Zo如下所示:Z
i=hfe ∴Zi=1.5kΩZ
o=1/hoe ∴Zo=100kΩ
3.6.2 放大电路的分类
对放大电路,有根据晶体三极管的三个电极中哪个接地而决定的分类法和根据晶体三极管工作时工作点的设定而决定的分类法,在表3.4中表示了各种分类。
本章小结
偏置的必要性
为了不失真地放大输入波形,必须预先设定一定的直流电流流过基极-发射极间。这就是偏置,施加在各电极间的直流电压称为偏置电压,流过的直流电流称为偏置电流。
偏置电路
有电路简单、功耗小的固定偏置电路,通常被使用得最多的是能够抑制由温度变化引起集电极电流变化的电流反馈偏置电路。
负载线和工作点
在V
CE-IC特性曲线上,根据VCE=VCC-RLIC,求解当VCE=0时的IC,和IC=0时的VCE,连接各自点的直线段就是负载线。另外,负载线上的每一个点称为工作点,由工作点可以知道晶体三极管工作时的偏置情况。电压放大倍数和增益
若令输入电压为v
i,输出电压为vo,则电压放大倍数Av及电压增益Gv由下式表示:A
v=vo/vi Gv=20log10Av[dB]H参数
求解静态特性的线性范围的部分斜率,有能够反映这些特性的如下所示的参数:
h
fe(电流放大倍数):△IC/△IBh
oe(输出导纳):△IC/△VCE[S]h
ie(输入阻抗):△VBE/△IB[Ω]h
re(电压反馈系数)△VBE/△VCE晶体三极管的等效电路
对在静态特性上利用图解法求得放大倍数而言,利用h参数表示的晶体三极管交流信号等效电路,根据计算得出结果的方法更为方便有效。
上一篇:晶体三极管的作用 2026-04-11
下一篇:场效应晶体管(FET)放大器的设计 2026-04-11

收藏本站
当前位置:






